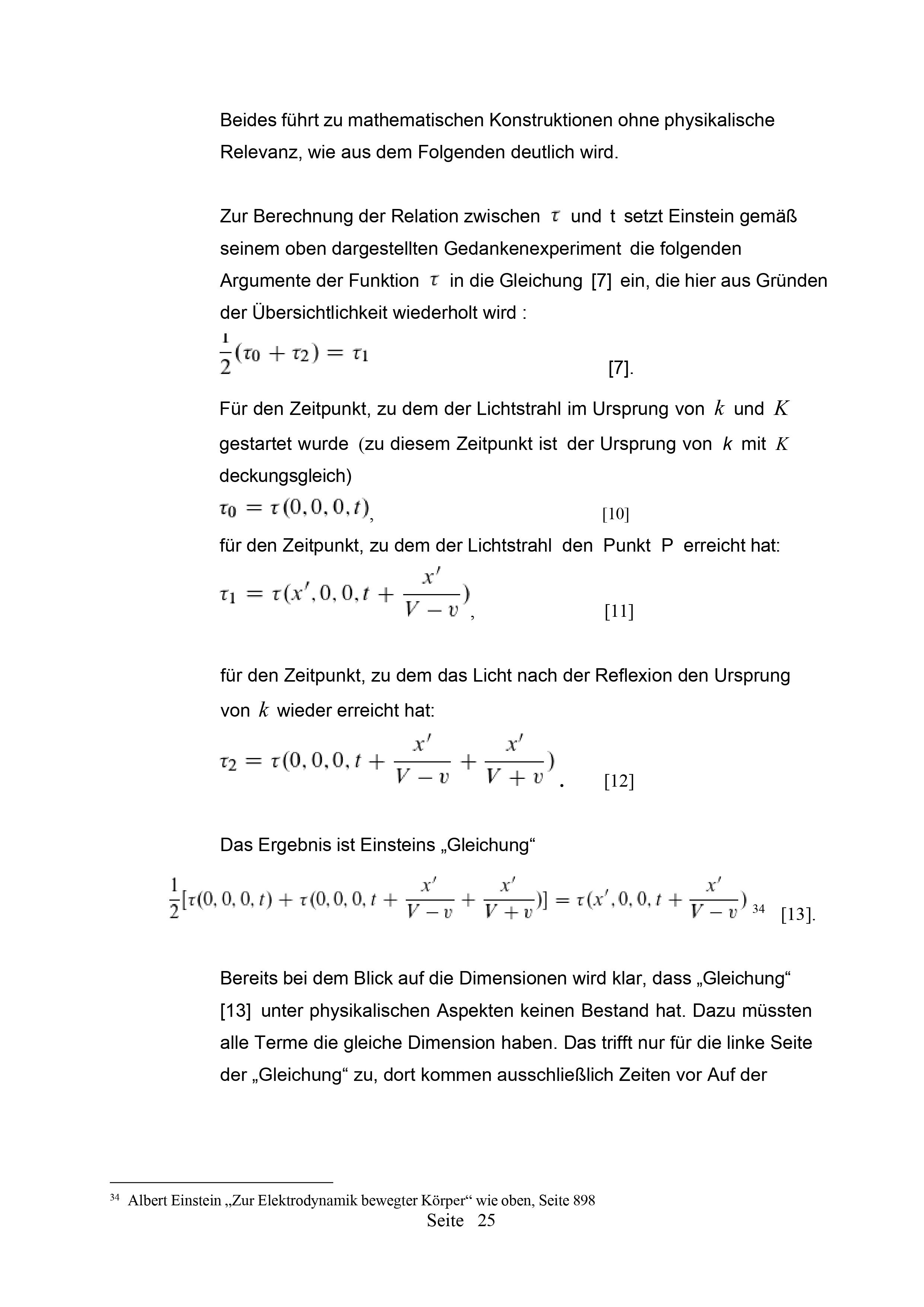
EINSTEIN-WIDERLEGUNG Stand 30.12.2023